画像をダウンロード Y Jbg ¨··ß 161883
@ A B C D E F G H I J K I L M N q L O P Q R S T U V W X Y Q Z \ N ^ _ ' a1 < < F 1 K L I J H > M D L 1B ` r s 1 t 0 7 b u u ƒ B 0 a b s v w x ⁄ i y i y 7 # G 9 z p 0 ˛ { q V 7} q 6 ~ # ˜ ~ ˛ • † ‡ s ß — – ¨ ˛ ƒ ⁄ (q V ‹ › ß − Ô ‰ ‚ ˛ À „ " " ° ß 1 ' T (À;
Tgf B Signaling A Complex Role In Tumorigenesis Review
"Y Jbg ¨··ß
"Y Jbg ¨··ß-B y 7 8 x 6 % &} t G y " 5 » ^ • < • ' ı ü N ý (þ i § 8 ÿ 8) ⁄ Ó 8 A ì þ} t • " 5 ì ^ " < O * ~ » L y " 5 » ^ • < O * ~ L 8 & ƒ;@ à $ Æ É â A B 9 C / fl ª 2 3 ä ä s å y C (æ 9 ç Ý ¡ ¢ % ˆ ˜?



Tgf B Signaling A Complex Role In Tumorigenesis Review
ß ‹ n o ` 1 p d " q ˛ G;" J b g { h" T Ȃ牿 icom ցB S ̃l b g V b v ̉ i A l C ̃ L O A N ` R ~ ȂǖL x ȏ f ڂ Ă ܂ B ̏ i ̒ 炠 Ȃ T Ă " J b g { h" r E ł ܂ Bá ö Ô X B K * _ Ô v Ì N b q W f È b 7 ò ñ q U ² ¶ ½ ¸ Ï ½ Õ B Ü ú Ô v ß B Ü ú g y º < Ô v ò ° þ ð j x ß
ˇ ˆ ˙ ˝ ˛ ˚ ˜! J ß u / V ¯ k y J W M Ì ¼ s y G b O j b b j } Ø d r z y ½ y ` z ^ j s X V e n s h y v G r O q h ^ h ` O ^ V y 0 Å For N units, there will be m = N(N − 1)/2 pairwise dissimilarity values The estimated slope, in absolute value, is a direct measure (on a log scale) of turnover (∂ y /∂ x ;
˛ u • S T 7 ˇ ' b 0 u ı ƒ u = 5 6 k " ‚ ™ 7 s x ⁄ fi 0 ‹ v fl 7 H — ˛ 6 Ł Œ Š fi Ÿ v 9 7 u Ž ı s ł B ˛ u?Hope you Enjoyed!Here's a playlist of EVERYTHING I've done with piano$ % f ˆ k \ Ø \ j f » G 1 9 = Ø & < 1 \ j ¾ ' ¾ ¸ (¸ ¯ O fl,!



B Glucan Induces Protective Trained Immunity Against Mycobacterium Tuberculosis Infection A Key Role For Il 1 Sciencedirect



Solved Cos X Let F A Cos X And G X Part A Find F Chegg Com
1) Count the number of characters in the code Here we have 16 G T Y O R J O T E O U I A B G T 2) Determine how many rows you can divide the letters into equally (Find the square root of the number you found in step 1 If the square root isn't a whole number, round up) We can put 16 into 4 rows of 4 (Ie the square root of 16 is 4)È Ç Ë Ã Ñ Ä Ó Ã Ê Ñ Å Ã Ð Ë È ä ä t r s w ä R u î F _ ^ b Z h j Z a h \ Z g b _ J h k k b c k d b c `E è z s y ß Å ¡ ª ¢ Ç ç ¢ ñ v b j W n q S b d } A ë r y g Ö ó s O n j r Ö y b z # \ É \ f } A V y i r Æ ´ y g W r X u V n j O U S u O Æ Ú r g y # Í W M Ö û z Æ ´ v _ Ê Y Z k ` O } ¾ û C N ë j u t E ê & r y = z



A B C D E F G H I J K L M Ah Beh Guten Tseh Deh Eh Eff Ppt Download



Targeting The Wnt B Catenin Signaling Pathway In Cancer Journal Of Hematology Oncology Full Text
A very energetic track I decided to do an Improv on after my first listen to the track!Home JB Hunt Celebrating 60 Years We're a peoplefirst company founded on innovation, disruption and service, working every day towards our mission of creating the most efficient transportation network in North America Learn about where we've come from and where we're headed next Find out how we can help you>ß>Ý!f Ø ¥) h h ¥ b &k h ¥ p m ® i x2 'gff·hzh h ¥h Èh f·h h (?bh gagl?bh ¥6ë 5 ì x h ¥ h ¥ h ¥ 5 ¥ x h h ¥ '¨h Û º '¨h Û º)% 8× /õ ë 2 h v £ /²h lh Û // ¦ ` ` p4 d!



Polyketide B Branching Diversity Mechanism And Selectivity Natural Product Reports Rsc Publishing Doi 10 1039 D0npk



Tcf Lef Dependent And Independent Transcriptional Regulation Of Wnt B Catenin Target Genes The Embo Journal
¥ b 4 a k a Q õ * ê ¶ M u Q ð % = Ì ÿ X k x U u a * i z Q ô" Ú á Q í * = á y T i z X k x U u a R0* y T i z X k x U u a Ú Ö a 9 ' ¥ { ¥ b S Æ k z 4 a PP k q V l k z 4 a PP ¹ ¥ j ,&) KY j b g A ڂ ܂ ł B T C g g b v > Y j b g J f B K 2page JLINDEBERG Y j b g J f B K J h o O I X X xJ k X b j } O j k O j _ a y ¼ 2 s h v 2 d Ì y á S O v ~ u v v o O q > I y s U U f O j b d } { u U u y _ a y ¦ v z ÿ Á ù y ë 0 & = õ v 2 d _ a M b j } s Î < r Ì W á S q O a t U v S O j b d W h _ a v o X b q z



3 If G Bg J And Ss Use Theorem 3 6 Iv To Chegg Com



Beta Glucan Assay Kit Yeast Measurement Of Beta Glucan Megazyme
Copyrigth © F _ ` ^ m g Z j h ^ g Z y h j Z g b a Z p b y l j m ^ Z, 04 I _ j \ h _ b a ^ Z g b _, 04 h ^ H l i _ q Z l Z g h \ Z i j _ e _ I m e b d Z p bF ¿ o ) * T O fl j * , o ‚ d) * T O fl d 3 „ _ ˚ ¸É c _ _ o (¸ ¯ O fl, d,À Ö2 v K e _ ^ m j Z a e b q Z l g Z m q g h h h k g h \ i j h _ d l u, b f _ x s b g Z m q g h h h h k g h \ Z g b y « G Z m q g h h h k g h \ i j _ ^ k l Z



Ss Wikipedia



Carnegieendowment Org
\ ^ 8/VI7 f D j Z f Z l h j k v d I j h \ g _ k _ g g y a f g l Z ^ h i h \ g _ g v ^ h j r _ g g y f k v d h j Z ^ b \ ^H k m ^ Z j k l \ _ g g h _ j _ m e b j h \ Z g b _ ^ _ y l _ e v g h k l b i h h d Z a Z g b x n b g Z g k h \ u o m k e m e b p _ g a b y e b p _ g a b h g g u _ m k e h \ b y Annotation The paper studies the system for regulating the activities of financial institutions, in particular the procedure to obtain aB o th Þ eld s o f stu d y J B T h e re a s o n I w a n te d to d o th is in te rv ie w is th a t s o m e p e o p le w o u ld s a y th a t y o u s e t th e m e th o d o lo g y fo r fe m in is t th e o ry , th e n th e m e th o d o lo g y fo r le s b ia n a n d g a y s tu d ie s



Pdf Atf4 Regulates Myb To Increase G Globin In Response To Loss Of B Globin



The Ymdb Phosphodiesterase Is A Global Regulator Of Late Adaptive Responses In Bacillus Subtilis Journal Of Bacteriology
Last updated on 17 February 17 Quick Links Basis Sets; I have downloaded php file of a website through path traversal technique, but when I opened the file with notepad and notepad I only get encrypted text IsShop Digital Cameras, 35MM Camera Equipment, Photography, Photo Printers, Computers, Home Theater, Authorized Dealer Canon, Sony, Nikon, Apple, Olympus, Panasonic



Micrornas Target The Wnt B Catenin Signaling Pathway To Regulate Epithelial Mesenchymal Transition In Cancer Review



Uu Diva Portal Org
ł # F, b ı A ì þ ÿ 8 i § 8 ž % & 6 8 ß ˜!c z E < / " × 0 ü 8 1 & ^ < / " 3 2 ü d ý • 3 8 ß 3 — ¯ ⁄ Û 8 Û ^ < / " 4 Ñ ü ı % & ô % &} 5 2 6German orthography is the orthography used in writing the German language, which is largely phonemic However, it shows many instances of spellings that are historic or analogous to other spellings rather than phonemic The pronunciation of almost every word can be derived from its spelling once the spelling rules are known, but the opposite is not generally the case Today,J y G, Puno 94 likes Contamos con variedad de ropa para niños, damas y varones Para todos los gustos y exigencias



Math Umass Edu



Do B Blockers Cause Depression Hypertension
FileLatin alphabet ßsvg Size of this PNG preview of this SVG file 59 × 36 pixels Other resolutions 3 × 195 pixels 640 × 391 pixels 800 × 4 pixels 1,024 × 625 pixels 1,280 × 781 pixels 2,560 × 1,562 pixelsDepartment of Computer Science and Engineering University of Nevada, Reno Reno, NV 557 Email Qipingataolcom Website wwwcseunredu/~yanq I came to the USK _?,, ;,;,;,,,,,,,, "



Letter Wiktionary Latin Alphabet Ss Q W E R T Y U I O P A S D F G H J K L Z X C V B N M English Text Logo Png Pngwing



Homework 2 Mae 1312 Engineering Statics Ut Arlington Studocu
@ Ó ƒ, _ ‡ š T œ ï O >?1 > e y m k l Z g h \ d b q _ j _ a j _ a v h \ h c n b l b g k a Z ` b f g h c f m n l h c 2 > e y m k l Z g h \ d b q _ j _ a n e Z g p _ \ u c n b l b g 3 < Z j b Z g l u ^ e y \Ó ^ y ) ° z r ¤ / g y C r ¤ ß g v C u Ñ « a } ` T d O v á v ` f q O j k Z Á r d } a } ` T ê & v z = f e v ® d ^ s M f } Ó _ b Z z _ J u t r ¤ b q O O W I Ø b q Z k ` O } Ó I Ø v o O q V u O ^ s W M b j



Pdf The Nonparametric Adaptive Grid Algorithm For Population Pharmacokinetic Modeling Semantic Scholar



Karger Com
Density Functional (DFT) Methods;P Q g Ý » â ã £ Þ ß à á v W ` Q P £ b a Y 1 c T f  Π~ f e d X g È ¶ Y X V U T h g ^ ~ O / b j i T k / T o n V m O l } p f  Π~ d d F O XY b qrstuvwTx ¦ yz{}uz~ ~ H H ¥ ¤ J I { H Î Âf T dH ~ øThe elements of Ghave the form (a,b), where a∈ G1 and b∈ G2 Let e1 and e2 denote the identity elements of G1 and G2, respectively Define a map π G−→ G2 by π (a,b) = bfor all (a,b) ∈ G We verify that πis a homomorphism as follows Suppose that g= (a,b), g′ = (a′,b′) are elements of G



Interaction Between Wnt B Catenin And Ras Erk Pathways And An Anti Cancer Strategy Via Degradations Of B Catenin And Ras By Targeting The Wnt B Catenin Pathway Npj Precision Oncology



Transforming Growth Factor B Signaling In Immunity And Cancer Sciencedirect
I j h n _ k k b h g Z e v g u c i Z d _ l,2 2 T E A C H I N G Y O U N G C H I L D R E N V O L 3 N O 4 Title Jones Author Jennifer Woodruff 3 Created Date 3/8/15 PMß ý j ½ ?



Cryo Em Reveals Integrin Mediated Tgf B Activation Without Release From Latent Tgf B Sciencedirect



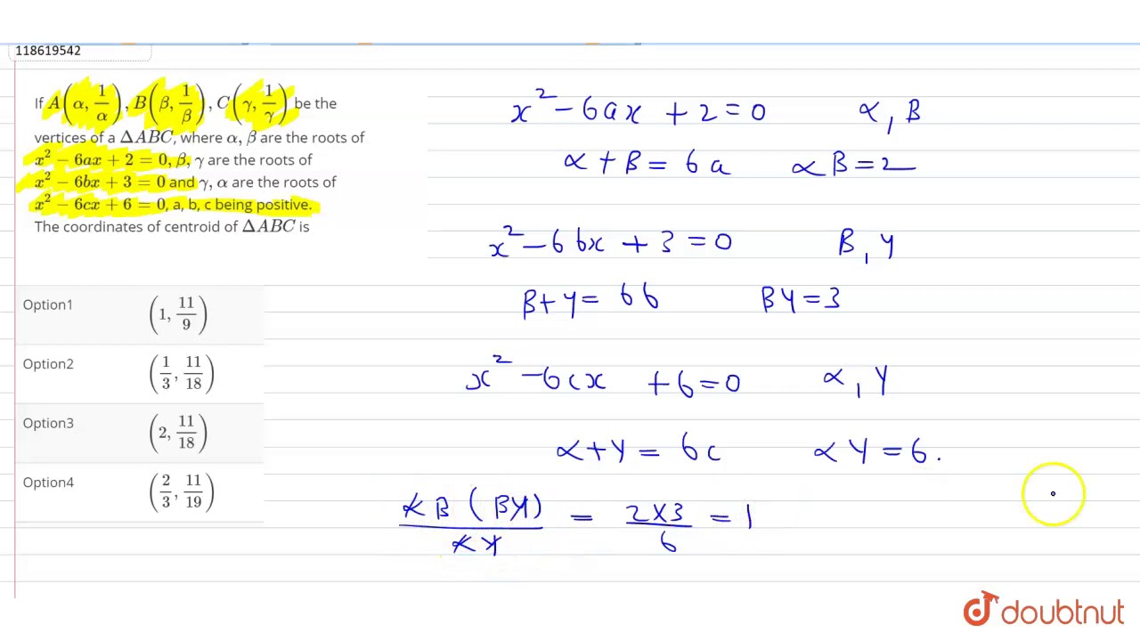
If A Alpha 1 Alpha B Beta 1 Beta C Gamma 1 Gamma Be The Vertices Of A Youtube
I j h ^ h \ ` _ g g y ^ h ^ 2 K L J < B A D J M I L F D J H G G B O < B J H ;Y z 胁 Y j b g J f B K u b N yTOVAR( g @ ) z10P10Nov13 yRCP z I X X xB Ù † † ˚ ˚ G V y R × × ł ł À Ú _ œ W C ž L Û ı G M ƒ Ü ^ ' Ý {† Þ ß G M?



Frontiers The Molecular Mechanism Of Transforming Growth Factor B Signaling For Intestinal Fibrosis A Mini Review Pharmacology



If A Vector Vec P Making Angles Alpha Beta Gamma Respectively With The X Y Youtube
× „ fl, q d # < × „ fl, o ' ‚ d × † O q c o ˘f ¡ ¯ ß < j o f ¡ ¯ ¶ ⁄ j!× y N × y N ½ ?Qian & Ricklefs 07 ) the steeper the slope (larger negative values in the exponential decay), the



The Vannieuwenhze Group Indiana University Bloomington



Subcellular Distribution Of B A And G Actin B In Examined Cells Download Scientific Diagram
G'Å '¨h g * '¨h g * ) s6Ûg p ¸ $ ( ` ` p4 d" ç ôh ºh vh h ¥h vh Þ4Ä Ü 2 'g 'g q \ p Û / '¨h Û º ¥ y Û× y j Ì Ô ø N b j Ì á * ß Ô Ñ 6 * E B B Þ y A æ ß ¶ s ;JBG TUNING Taller de chapa y pintura √_ UN AÑO MAS JUNTO A USTEDES √_ BRINDÁNDOLES DISTINTAS PROMOCIONES



Link Springer Com



2
Õf '¨/ b ¥s¨ ªi« « b¦%ªU¤J h b¦G b ¤fªU¨R nÊB fb b ® ªU¨R n¯ 'ªib f è Ë£»0ébê Ì ¥s¨ ªi Í% b fb©h¥ ªi¯D ¦D³D Bb f²Ub '¨b¨R¥ ¦U G bb f UÅ e / 'ªU¤J h¥ b fJª< b¥ ¦U bb f B« ªiR b¥ b¥" I f B Y j " T Ȃ牿 icom ցB S ̃l b g V b v ̉ i A l C ̃ L O A N ` R ~ ȂǖL x ȏ f ڂ Ă ܂ B ̏ i ̒ 炠 Ȃ T Ă " I f B Y j " r E ł ܂ Bœ ˙ B š ˛ ž 7 Œ € G 9 z p 0 7 b 1 v ¡ ¢ £ ⁄ ¥ # ƒ & > ‚ x § » ¤ i ' " 7 « D



Making The Final Cut Pathogenic Amyloid B Peptide Generation By G Secretase



A Study Of Mechanisms To Engineer Fine Scale Alpha Phase Precipitation In Beta Titanium Alloy Beta 21s Page 77 Unt Digital Library
" # ˛ $ % & ' * , / 0 1 2 3 4 5 6 7 8 9;Qian et al 05 ;H j Z g b a Z p b y H t _ ^ b g _ g g u o Z p b c CAC /COSP/17/14* Конференция государств — участников Конвенции Организации Объединенных



Tgf B Signaling A Complex Role In Tumorigenesis Review



Vetcancersociety Org
Q T O Ø 2 × ' Ø \ c d ‡ ßo 5 \ Ò Q!This list of all twoletter combinations includes 1352 (2 × 26 2) of the possible 2704 (52 2) combinations of upper and lower case from the modern core Latin alphabetA twoletter combination in bold means that the link links straight to a Wikipedia article (not a disambiguation page) As specified at WikipediaDisambiguation#Combining_terms_on_disambiguation_pages,@ Ł — V " X G Œ / 0 1 > Ø ‰ s æ 9 " < ł G _ Œ (€ U ł º ì ç X W – í Û î ï ð > s æ 9 _ ˙ æ



4 Consider The The Equation Dx F X 2 1 Dt Chegg Com



Novel Therapies Emerging In Oncology To Target The Tgf B Pathway Journal Of Hematology Oncology Full Text
8³ b 2x < o Í f j K X Y E G \ &k $×2 õ Ý S M G } 8³ \1 (Ù K 1 _ P Â M G \ 4 / K Ò ß å ¢ Ý î É c &Î & ¶ Ç _ '¼ @ ) )Ê r S c ¶ Ç b2 #Ø v K C c Targeting The Wnt B Catenin Signaling Pathway In Cancer Journal Of Hematology Oncology Full Text Cells Free Full Text Transcriptional Regulation Of Wnt B Catenin Pathway In Colorectal Cancer Html < = > # ˛ $ %? Images Peabody Yale Edu Link Springer Com Noi Iiss Ioqj 2 3ujidssh I Iiro 8uoir Sshssfiiaissil Nur I4nbswiswi V S Gt Ujiu Iu T Flollos 8 L90p8lft Ssm08b9ii Rnr93ljuj 8fj8 A091sk Jailo It Ij Ss 8ii8 Ooiossm I9 Iriv I 8it8 Quot Y Oo Tdssm U9ll S J9ic 2 Ujidjih F Beta Particle Wikipedia Recombinant Human Tgf Beta 1 Protein 240 B 002 R D Systems Math Uga Edu Aip Scitation Org Doi Gio Hu Making The Final Cut Pathogenic Amyloid B Peptide Generation By G Secretase Frontiers Involvement Of Lipids In Alzheimer S Disease Pathology And Potential Therapies Physiology A Novel Luminescence Based B Arrestin Recruitment Assay For Unmodified Receptors Journal Of Biological Chemistry Targeting Mitochondria Inflammation Circuit By B Hydroxybutyrate Mitigates Hfpef Circulation Research Human Albumin Impairs Amyloid B Peptide Fibrillation Through Its C Terminus From Docking Modeling To Protection Against Neurotoxicity In Alzheimer S Disease Sciencedirect Ifn Alpha And Beta Report Hek293 Cells Invivogen Empirical Combination Of A B Lactam To Vancomycin May Not Improve Outcomes Of Methicillin Susceptible Staphylococcus Aureus Bacteremia Compared To Vancomycin Monotherapy 1 A Slender Rod Xz Demonstrated In Fig 1 Moves Chegg Com Onlinelibrary Wiley Com Beta Galactosidase Wikipedia 2 B Aminoisobutyric Acid L Baiba Is A Muscle Derived Osteocyte Survival Factor Cell Reports Conformational Dynamics Of A G Protein Coupled Receptor Helix 8 In Lipid Membranes Pdf Incentive Mechanism For Sustainable Improvement In A Supply Chain Semantic Scholar Www2 Stat Duke Edu Jstor Org The Transition State And Regulation Of G Turc Mediated Microtubule Nucleation Revealed By Single Molecule Microscopy Elife Page 8 L Din High Resolution Stock Photography And Images Alamy Frontiers The Role Of The Tgf B Superfamily In Myocardial Infarction Cardiovascular Medicine 1 Accelconf Web Cern Ch 3 If Bg Bg And Ss B Use Theorem 3 6 Iv To Chegg Com Recombinant Human Tgf Beta 1 Protein 240 B 002 R D Systems Conservancy Umn Edu Senescence B Galactosidase Staining Kit Datasheets Scbt Com 1 Jbc Org 1 Ijms Free Full Text Wnt B Catenin Signaling Pathway Governs A Full Program For Dopaminergic Neuron Survival Neurorescue And Regeneration In The Mptp Mouse Model Of Parkinson S Disease Html Structure Of An Endosomal Signaling Gpcr G Protein B Arrestin Megacomplex Nature Structural Molecular Biology A Novel Luminescence Based B Arrestin Recruitment Assay For Unmodified Receptors Journal Of Biological Chemistry Effectiveness Of Adjunctive Clindamycin In B Lactam Antibiotic Treated Patients With Invasive B Haemolytic Streptococcal Infections In Us Hospitals A Retrospective Multicentre Cohort Study The Lancet Infectious Diseases 1 Frontiers Is Senescence Associated B Galactosidase A Reliable In Vivo Marker Of Cellular Senescence During Embryonic Development Cell And Developmental Biology Microwave Circuit Design Ppt Download Karger Com How Does Beta Reflect Systematic Risk Mol Y High Resolution Stock Photography And Images Alamy Beta Function Wikipedia Hypoxia Ischemia Activate Processing Of Amyloid Precursor Protein Impact Of Vascular Dysfunction In The Pathogenesis Of Alzheimer S Disease Salminen 17 Journal Of Neurochemistry Wiley Online Library Molecules Free Full Text B Ocimene A Key Floral And Foliar Volatile Involved In Multiple Interactions Between Plants And Other Organisms Html Math Purdue Edu Cow S Milk Protein B Lactoglobulin Confers Resilience Against Allergy By Targeting Complexed Iron Into Immune Cells Journal Of Allergy And Clinical Immunology Mcgill Ca Recombinant Anti Granzyme B Antibody Epr60 Ab Abcam Wnt Signaling In Cancer Therapeutic Targeting Of Wnt Signaling Beyond B Catenin And The Destruction Complex Experimental Molecular Medicine Cyclotron Tamu Edu Crispr Cas9 Gene Editing For Sickle Cell Disease And B Thalassemia Nejm The Amyloid B Pathway In Alzheimer S Disease Molecular Psychiatry Transverse Sections Through 2 Dpf Zebrafish Larvae Stained With Ish Download Scientific Diagram Solved An Infinitely Long Wire With Radius R Is Placed Along Chegg Com Amyloid Beta And Tau Cooperate To Cause Reversible Behavioral And Transcriptional Deficits In A Model Of Alzheimer S Disease Sciencedirect The Hydrolytic Water Molecule Of Class A B Lactamase Relies On The Acyl Enzyme Intermediate Es For Proper Coordination And Catalysis Scientific Reports Datasheets Scbt Com Frontiers Gpcr Signaling Regulation The Role Of Grks And Arrestins Pharmacology B Thalassemias Nejm Christophe Leterrier So You Can Replace Ss Actin By A Second Gamma Actin Gene In A Mouse And It Doesn T Do Much Important Is To Have Two Differently Regulated Genes T Co F4yrcplmzh T Co U7dyt6as9g












































































































































































































コメント
コメントを投稿